Contoh Format Manual Prosedur Kerja By Bio_Lillianna424 04 Jun, 2022 Post a Comment Fail Meja Manual Prosedur Kerja 2 Contoh Manual Prosedur Kerja Pdf Manual Prosedur Kerja Dan Fail Meja Pdf Pemahaman Dan Penyiapan Manual Prosedur Dan Instruksi Kerja Share No comments for "Contoh Format Manual Prosedur Kerja"
No comments for "Contoh Format Manual Prosedur Kerja"
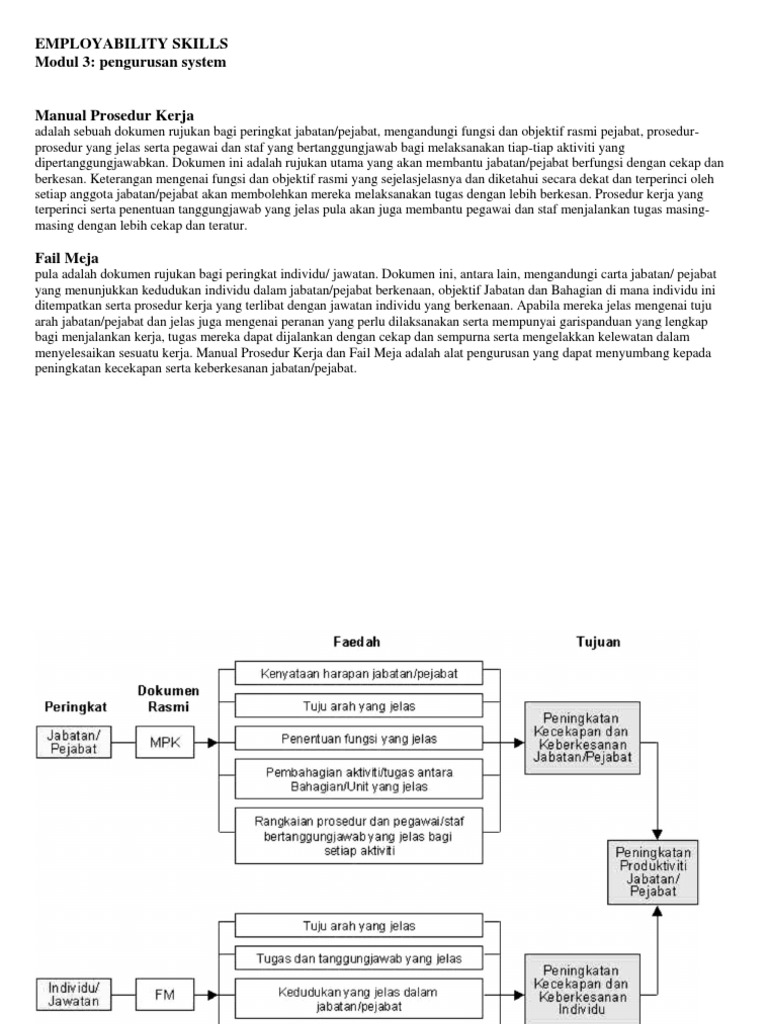
Post a Comment